最新资讯

当前位置:首页  最新资讯

南航卢天健、刘少宝团队与圣路易斯华盛顿大学Guy M. Genin院士合作Appl. Math. Model.:细胞骨架张力调控超声消融中细胞核的混沌振动

作者: 访问量:213时间:2026-03-03

癌症是威胁人类生命健康的主要疾病之一,而当前放疗、化疗等常规治疗手段存在副作用明显、治愈率有限等问题。力医学(Mechanomedicine)作为一门新兴交叉学科,发展成为一种有前景的肿瘤治疗新策略。近年来,基于超声波实现选择性杀伤癌细胞的肿瘤力学疗法受到广泛关注(Adv. Drug Deliv. Rev., 2023, 194:114722),其潜在机制在于:利用癌细胞与正常细胞在结构和力学特性上存在差异,特定频率的超声波将激励癌细胞发生共振,从而选择性裂解癌细胞。团队前序研究表明,细胞核与其他细胞组分刚度和质量密度的差异使其有潜力作为振子响应外激励(J. Mech. Phys. Solids, 2021, 155:104572&J. Mech. Behav. Biomed. Mater., 2024, 160:106778),然而细胞骨架作为与细胞核直接相连的重要结构,其力学行为对细胞核响应超声波激励的影响机制仍不清楚。

针对上述问题,研究人员基于欧拉杆屈曲理论和单自由度振动理论建立了细胞核非线性振动模型,揭示了细胞核对特定频率超声波的混沌动力学响应机制以及细胞骨架屈曲和收缩力对细胞核响应超声波激励的影响规律。研究成果以“Cytoskeletal tension governs chaotic vibration of nuclei during ultrasound ablation of cells”为题发表于国际力学和应用数学期刊Applied Mathematical Modelling.

首先,研究团队将细胞核建模为嵌入弹性细胞质中的刚性振子,由细胞骨架连接至细胞膜和细胞外基质(ECM)。当系统感受到周期性超声波时,超声波激励力会引起细胞核的平移振动响应,进而受压缩一侧的细胞骨架由于其较大的长细比,发生屈曲(图1)。

图1 考虑细胞骨架屈曲的细胞核振动模型简图

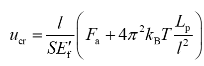
细胞骨架屈曲的临界位移:

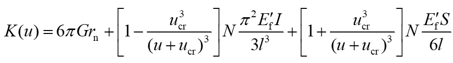
在简化模型的基础上,分别计算屈曲和非屈曲细胞骨架以及周围基质贡献的振动刚度,进而得到总振动刚度:

由于细胞骨架屈曲,细胞核的位移导致系统刚度随着位移的增大而降低。非线性恢复力项是非单调的,对于细胞核较小位移(u < 0.5 ucr),恢复力增加,对于较大位移(u > 0.5 ucr)则减小(图2)。

图2 考虑细胞骨架屈曲的非线性刚度和非线性恢复力

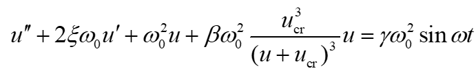
基于系统刚度、阻尼、振子质量和超声波外激励力给出细胞核单自由度平移非线性振动的控制方程:

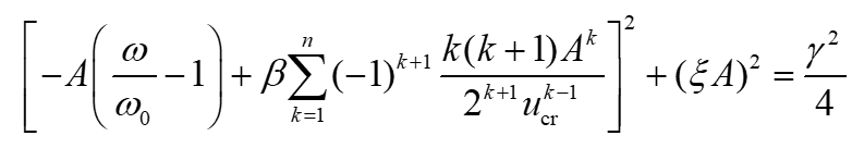
该方程构建的振动系统为Duffing系统,采用多尺度法求得幅频方程解析解:

由式(4)可得出细胞核非线性幅频响应曲线(图3)。与线性幅频响应不同,非线性幅频响应存在显著Pitchfork分岔,且不稳定程度随系统阻尼和外激励幅值变化。

图3 细胞核非线性幅频响应中的Pitchfork分岔


为了探究调控此非线性响应的因素,研究人员绘制相图揭示了振幅随细胞骨架收缩力和超声波外激励的变化规律(图4)。相图呈现了振幅在不同参数空间的响应模式,超声波外激励频率主导着系统共振响应区域的产生,而细胞收缩力则主导着系统混沌行为(见补充材料相平面图)。结果为利用癌细胞和正常细胞细胞骨架收缩力差异诱导癌细胞核产生大振幅响应破坏提供了理论基础,也为通过药物调控细胞骨架收缩力以增强超声波对某些癌细胞的选择性消融效果启发了新思路。

图4 细胞核响应振幅随细胞骨架收缩力和超声波频率的变化相图

综上所述,本研究给出了考虑细胞骨架屈曲的细胞核非线性振动控制方程,发现了细胞骨架收缩力主导了系统向混沌的转变,揭示了细胞核对超声波外激励的非线性动力学响应机制,为优化基于超声波的肿瘤力学治疗策略提供了理论基础。


论文第一作者为南京航空航天大学2025届硕士齐兵,刘少宝副研究员为通讯作者,共同通讯作者为卢天健教授,其他共同作者包括南京航空航天大学本科生丰玲琳、硕士万秀伟、张浩、博士苏丽君和美国国家发明家科学院院士、圣路易斯华盛顿大学教授Guy M. Genin。该研究成果得到国家自然科学基金、江苏省基础研究计划和人类前沿科学计划(Human Frontier Science Program)的资助。


论文链接:

https://doi.org/10.1016/j.apm.2025.116615


地址:江苏省南京市秦淮区御道街 29 号 邮政编码: 210016

Copyright 2021 多功能轻量化材料与结构工信部重点实验室保留所有权利